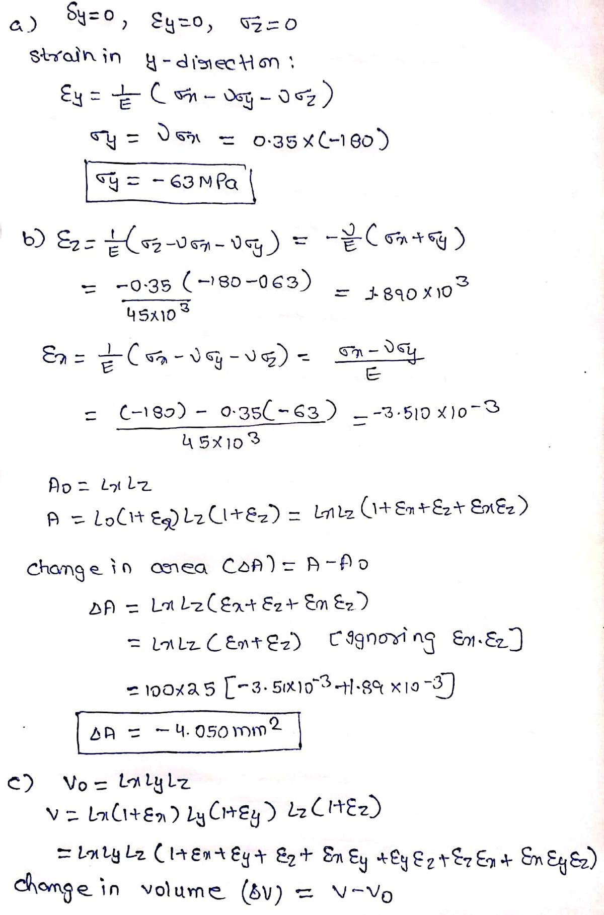
The Block Shown Is Made of Magnesium Alloy


Answer In Mechanical Engineering For Alan Enrico V Tuib 290499


Solved The Block Shown Is Made Of A Magnesium Alloy For Chegg Com


Metals Free Full Text Thermally Induced Gradient Of Properties On A Superhydrophobic Magnesium Alloy Surface Html


The Block Shown Is Made Of A Magnesium Alloy For Which E Docx The Block Shown Is Made Of A Magnesium Alloy For Which E 45 Gpa And V 0 35 Knowing Course Hero


Solved The Block Shown Is Made Of A Magnesium Alloy For Which E Chegg Com


Assignment 3 1 Mechanics Of Materials I Engr 2 076 Assignment 3 Due Date October 15 20 20 Studocu


An Aj62 Magnesium Alloy Engine Block Light Gray With Aluminum Alloy Download Scientific Diagram


Solved Q3 The Block Shown Is Made Of A Magnesium Alloy For Chegg Com


The Block Shown Is Made Of A Magnesium Alloy For Which E Docx The Block Shown Is Made Of A Magnesium Alloy For Which E 45 Gpa And V 0 35 Knowing Course Hero


The Bmw Composite Engine Block Showing A Cutaway Of The Magnesium Download Scientific Diagram


Solved The Block Shown Below Is Made Of A Magnesium Alloy Chegg Com


Metals Free Full Text Fatigue Properties Of Az31b Magnesium Alloy Processed By Equal Channel Angular Pressing Html


Solved The Block Shown Is Made Of A Magnesium Alloy For Which E Chegg Com


Solved The Block Shown Is Made Of A Magnesium Alloy For Which E Chegg Com


The Block Shown Is Made Of A Magnesium Alloy For Which E Studysoup


The Block Shown Is Made Of A Magnesium Alloy For Which E Docx The Block Shown Is Made Of A Magnesium Alloy For Which E 45 Gpa And V 0 35 Knowing Course Hero


Exam 001 168 Pdf Question The Block Shown Is Made Of A Magnesium Alloy For Which E 45 Gpa And V 0 35 Knowing That Iƒx A 180 Mpa Determine Course Hero


Solved Problem 2 70 The Block Shown Is Made Of A Magnesium Chegg Com


2


Solved The Block Shown Is Made Of A Magnesium Alloy For Which E 45 Gpa 1 Answer Transtutors

Comments

Post a Comment

Popular posts from this blog

Ways to Divide a Square Into 2 Equal Parts

Car Camera With Gps